Skip to main content

Chemistry - Biomolecules PYQ series

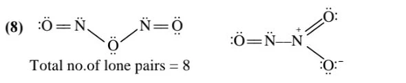
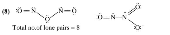
 Q. The total number of lone pairs of electrons in N₂O, is

                                                        (JEE advance 2015)


Ans:- 8

No of lone pairs in N2O


Comments

Popular posts from this blog

Chemistry - periodic table PYQ 2022

Q.The first ionization enthalpy of Na, Mg and Si, respectively, are: 496, 737 and 786 kJ mol¹. The first ionization enthalpy (kJ mol¹) of Al is:                                                         ( JEE mains 2022) 1. 487  2.  768 3. 577 4. 856 Show Answer Ans:- [c] I. E: Na < Al < Mg < Si  .. 496 <IE (Al) < 737  Option (C), matches the condition .  i.e IE (Al) = 577 kJmol-¹

Physics - JEE mains PYQ

 Q. Position of an ant (S in metres) moving in Y-Z plane is given by S=2t²j+5k (where t is in second). The magnitude and direction of velocity of the ant at t = 1 s will be :                                                         (Jee mains- 2024) 1. 16 m/s in y-direction  2. 4 m/s in x- direction  3. 9 m/s in z- direction  4. 4 m/s in y-direction  Show Answer 4 m/s in y-direction. v=ds/dt=4t ĵ At t = 1 sec v = 4ĵ More Questions kinametics PYQ

Indefinite Integration: Complete Notes for JEE Mains & Advanced

Indefinite Integration – Complete Revision (JEE Mains & Advanced) Indefinite Integration is not about memorising random formulas — it is about identifying forms . JEE strictly rotates questions around a fixed set of standard integrals and methods . This note covers the entire official syllabus with zero gaps. 1. Definition \[ \int f(x)\,dx = F(x)+C \quad \text{where } \frac{dF}{dx}=f(x) \] 2. ALL Standard Integrals (Must Memorise) \(\int x^n dx = \frac{x^{n+1}}{n+1}+C,\; n\neq-1\) \(\int \frac{1}{x}dx = \ln|x|+C\) \(\int e^x dx = e^x+C\) \(\int a^x dx = \frac{a^x}{\ln a}+C\) \(\int \sin x dx = -\cos x + C\) \(\int \cos x dx = \sin x + C\) \(\int \sec^2 x dx = \tan x + C\) \(\int \csc^2 x dx = -\cot x + C\) \(\int \sec x\tan x dx = \sec x + C\) \(\int \csc x\cot x dx = -\csc x + C\) 3. SIX IMPORTANT FORMS (JEE CORE) Form 1: \(\int \frac{1}{x^2+a^2}dx\) \[ = \frac{1}{a}\tan^{-1}\frac{x}{a}+C \] Form 2: \(\int \frac{1}{\sqrt{a^2-x^2}}dx\) \[...

Chemistry - metallurgy PYQ 2022

 Q. In metallurgy the term "gangue" is used for:                                                         ( JEE mains 2022 ) 1. Contamination of undesired earthy materials. 2. Contamination of metals, other than desired metal 3. Minerals which are naturally occuring in pure form 4.Magnetic impurities in an ore. Show Answer Ans:- [A] Earthy and undesired materials present in the ore, other then the desired metal, is known as gangue.

Class 10 Science – Full MCQ Sample Paper

Class 10 Science Sample Paper MCQ Quiz | CBSE | StudyBeacon Home › Class 10 Science › Sample Paper MCQs Class 10 Science – Full MCQ Sample Paper (25 Questions) Practice this complete MCQ-based sample paper prepared as per CBSE exam trend. Questions include PYQ-type, conceptual and application-based MCQs. Section A – Biology (Q1–Q9) Q1. Which process releases energy in cells? [Easy] Photosynthesis Respiration Transpiration Diffusion Answer: Respiration releases energy. Q2. Functional unit of kidney is: [Easy] Neuron Nephron Alveolus Villus Answer: Nephron filters blood. Q3. Which blood group is universal donor? [Moderate] AB+ A− O− B− Answer: O− lacks antigens. Q4. Main function of bile is: [Moderate] Digest protein Emulsify fats Digest starch Absorb glucose Answer: Bile breaks fat into droplets. Q5. DNA is located in: [Easy] Ribosome Cytoplasm Nucleus Vacuole Answer: DNA stores genetic info. Q6. ...

Physics - simple harmonic motion pyq 2023

 Q. In a linear simple harmonic motion (SHM) (A) Restoring force is directly proportional to the displacement.  (B) The acceleration and displacement are opposite in direction.  (C) The velocity is maximum at mean position. (D) The acceleration is minimum at extreme points.  Choose the correct answer from the options given below:                                                         (JEE mains 2023) 1. (A), (B) and (C) only   2. (C) and (D) only 3. (A), (B) and (D) only 4. (A), (C) and (D) only Show Answer Ans. (1)   F=-kx,          A true  a=-w²x.      B true  Velocity is maximum at mean position, C true  Acceleration is maximum at extreme point, D false

50 Most Repeated Physics MCQs: Class 12 CBSE

  50 Most Repeated Physics MCQs: Class 12 CBSE Solved & Optimized for Board Exams 2026 All questions follow the latest CBSE MCQ pattern. Click the "Solution" dropdown to check your accuracy. Unit 1: Electrostatics & Current Electricity Q1. A dipole is placed in a uniform electric field. It experiences: (a) Force only (b) Torque only (c) Both force and torque (d) Neither force nor torque उत्तर (Solution) Ans: (b) Torque only. In a uniform field, net force is zero ($qE - qE$), but since the forces act at different points, they produce torque. Q2. If the distance between two charges is doubled, the electrostatic force becomes: (a) 1/2 times (b) 2 times (c) 1/4 times (d) 4 times उत्तर (Solution) Ans: (c) 1/4 times. $F \propto 1/r^2$. So, doubling $r$ makes $F$ one-fourth. Q3. Which of the following is the unit of Electric Flux...

JEE Mains 2026 Chemistry Revision: Mole Concept Notes, Formulas & PYQ Patterns

  StudyBeacon JEE Mains 2026 — Revision Capsule #1: Mole Concept 30-Second Refresher The mole connects particles ↔ mass ↔ volume ↔ concentration . Most Physical Chemistry problems reduce to converting between these. Essential Ideas (Ultra-Compressed) One mole = Avogadro number \(N_A = 6.022\times10^{23}\) particles. Moles ↔ mass: \(n=\dfrac{W}{M}\) (mass ÷ molar mass). Gases at STP: \(1\ \text{mol} = 22.4\ \text{L}\). Ideal gas: \(PV=nRT\). Watch units. Concentration: Molarity \(M=\dfrac{n}{V_{\text{soln}}}\), Molality \(m=\dfrac{n_{\text{solute}}}{\text{kg solvent}}\). Equivalents useful for redox/acid-base: \(n_{\text{eq}}=\dfrac{W}{\text{equivalent mass}}\). High-Yield Formulas (Memorize) n = W / M moles = mass ÷ molar mass n = V / 22.4 (gases at STP) PV = nRT idea...

Physics - Radioactivity PYQ 2023

 Q. The half-life of a radioactive nucleus is 5 years, The fraction of the original sample that would decay in 15 years is :                                                         ( JEE mains 2023) 1. 1/8 2. 1/4 3. 7/8 4. 3/4 Show Answer Ans. (3)  15 year = 3 half lives  Number of active nuclei = N/8  Number of decay = 7/8N

Physics - waves PYQ series 2023

 Q. The height of transmitting antenna is 180 m and the height of the receiving antenna is 245 m. The maximum distance between them for satisfactory communication in line of sight will be :                                                         ( JEE mains 2023) 1. 48 km 2. 56 km 3. 96 km 4. 104 km Ans. (4)   dmax = √(2Rh, +2Rh) = √2x64×105×180+2×64×105×245  = {(8× 6 × 10³) + (8 × 7 × 10³)} m  = (48 +56) km  = 104 km